首页
学院快讯
焦点新闻
学院概况
学院简介
机构设置
学院领导
荣誉展示
师资队伍
师资介绍
教学名师
学科带头人
学科专业
机器人工程
智能制造工程
焊接技术与工程
机械设计制造及其自动化
电气工程及其自动化
自动化
机械电子工程
教学工作
教学管理
校企合作
国际合作
专家报告
学生工作
学生管理与服务
共青团工作
志愿团工作
党建工作
理论学习
党建动态
教学条件
智能制造与机器人实践中心
现代焊接技术训练中心
电气工程与自动化实践中心
现代工程训练及加工中心
出彩校友
就业信息
首页
学院快讯
焦点新闻
学院概况
学院简介
机构设置
学院领导
荣誉展示
师资队伍
师资介绍
教学名师
学科带头人
学科专业
机器人工程
智能制造工程
焊接技术与工程
机械设计制造及其自动化
电气工程及其自动化
自动化
机械电子工程
教学工作
教学管理
校企合作
国际合作
专家报告
学生工作
学生管理与服务
共青团工作
志愿团工作
党建工作
理论学习
党建动态
教学条件
智能制造与机器人实践中心
现代焊接技术训练中心
电气工程与自动化实践中心
现代工程训练及加工中心
出彩校友
就业信息
公告信息
公告信息
首页
>
公告信息
>
正文
>
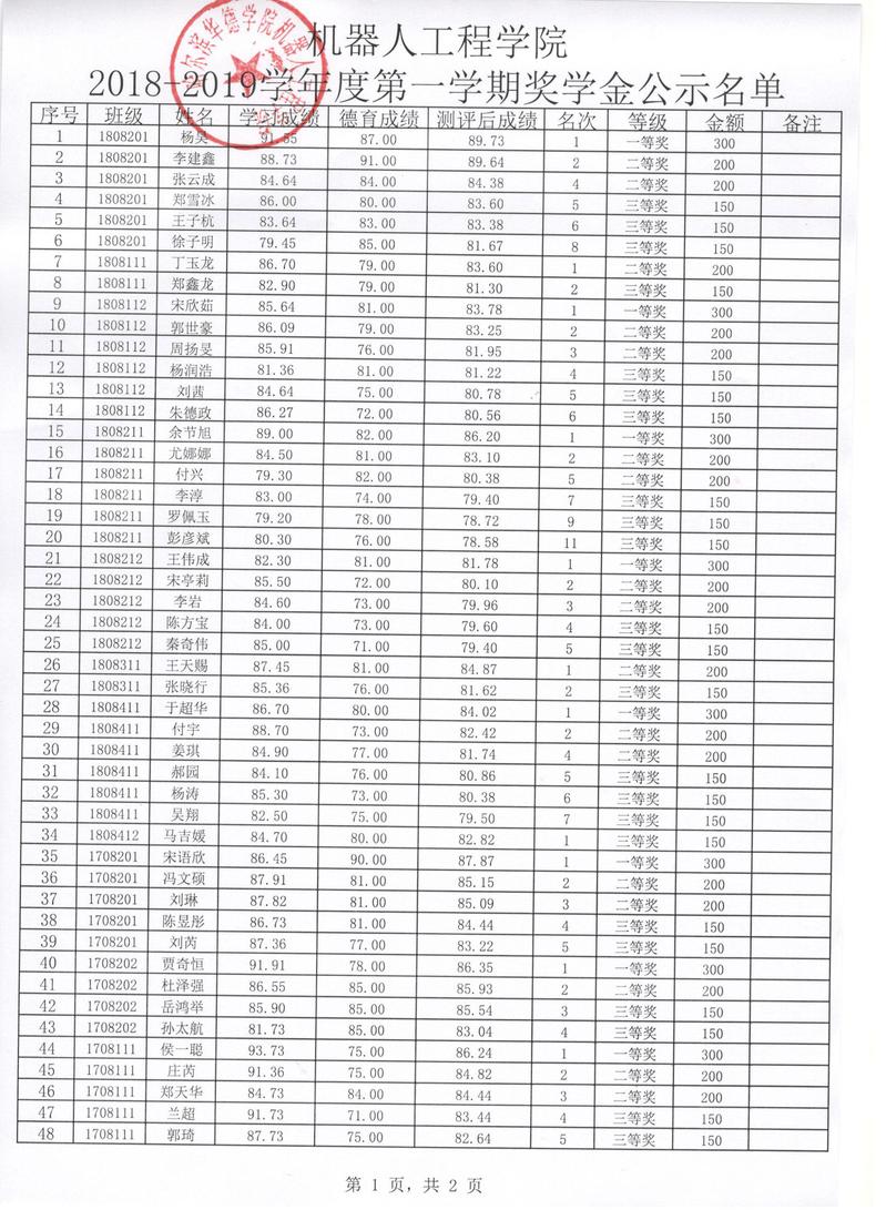
机器人工程学院2018-2019学年度第一学期奖学金公示名单
作者:朱雨婷
时间:2019-06-24
上一篇:机器人工程学院2019年家庭经济困难认定公示
下一篇:关于第一教学楼东门外压花路面施工的通知